Understanding the mechanism of heat transfer in nanoscale devices remains one of the greatest intellectual challenges in the field of thermal dynamics. When thermal dynamics is confined to the nanoscale, the characteristic timescales become ultrafast, engendering the failure of the common description of energy propagation and paving the way to unconventional phenomena such as wave-like temperature propagation. In recent days, The scientists explore layered strongly correlated materials as a platform to identify and control unconventional electronic heat transfer phenomena. They demonstrate that these systems can be tailored to sustain a wide spectrum of electronic heat transport regimes, ranging from ballistic, to hydrodynamic all the way to diffusive. Within the hydrodynamic regime, wave-like temperature oscillations are predicted up to room temperature. The interaction strength can be exploited as a knob to control the dynamics of temperature waves as well as the onset of different thermal transport regimes.
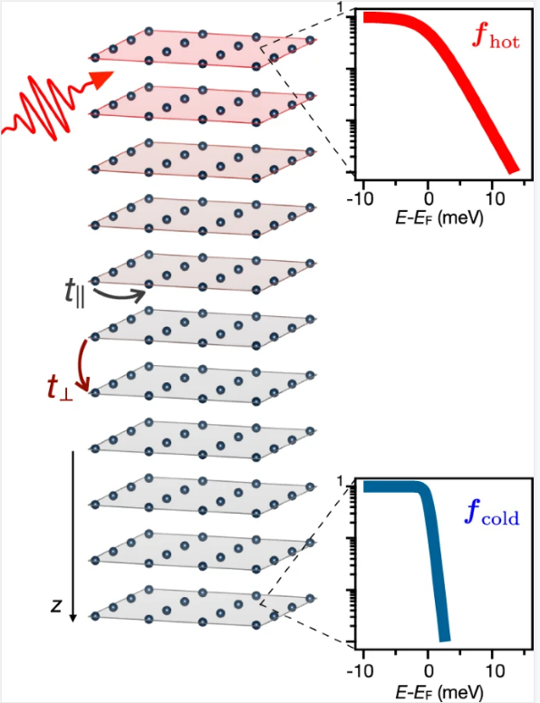
The scientists consider an impulsive excitation on the surface of a LCM characterized by a strong local Coulomb interaction U (see Figure 1). The interaction U can drive fast local thermalization processes leading to the rapid build up of a hot intra-layer electronic temperature before relaxation via slower scattering paths takes place. At the same time, the interaction leads to heavier quasiparticles with enhanced effective mass m* and a reduced kinetic energy. As a consequence, energy propagation across the layers is expected to slow down for increasing U. Overall the interaction U, together with the anisotropy of the inter-layer and intra-layer hopping terms, may thus act as a tuning parameter to control the relative inter- and intra-layer energy exchange processes in LCM. Eventually, as the interaction increases, the two processes can effectively decouple, thus allowing for unconventional electronic heat transport regimes to occur on the ultrashort space and timescales.

Figure 1. Setup.Cartoon of the layered correlated material impulsively excited on the top surface by ultrafast light pulses. We assume that the excitation drives a fast thermalization of the electronic population establishing an electronic temperature Thot on the topmost layers of the sample.
The present work rationalizes the microscopic interactions underlying unconventional electronic heat transfer phenomena in LCM. Our findings enlarge the functionalities of quantum materials to the realm of nanoscale heat transport, beyond the case of radiative energy transfer.
Source from:
1. Mazza G, Gandolfi M, Capone M, et al. Thermal dynamics and electronic temperature waves in layered correlated materials. Nat Commun 2021; 12: 6904.
Copyright © by EnPress Publisher. All rights reserved.