-
Dec 8, 2021Thermal dynamics and electronic temperature waves in layered correlated materials

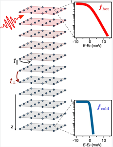
Figure 1. Setup.Cartoon of the layered correlated material impulsively excited on the top surface by ultrafast light pulses. We assume that the excitation drives a fast thermalization of the electronic population establishing an electronic temperature Thot on the topmost layers of the sample.
-
Jul 30, 2021Volume 4, Issue 1 of TSE is now live!
We are pleased to announce that the Vol. 4, No. 1 for 2021 of Thermal Science and Engineering is live now. Please access the full issue for more details.
-
Jun 20, 2021Meet one of our Associate Editors

Prof. Olga E. Glukhova
Saratov State University,Russian Federation
-
Feb 10, 2021Is renewable energy cheaper or more expensive than traditional forms of energy?

Renewable energy harnesses the wind's strength and sun's heat to generate electricity. (Image credit: Peter Cade/Getty Images)
-
Jan 8, 2021Volume 3, Issue 2 of TSE is now live!
We are pleased to announce that the Vol. 3, No. 2 for 2020 of Thermal Science and Engineering has been live. Please access the full issue for more details.
-
Aug 28, 2020Meet one of our Associate Editors

Prof. Nuo Yang
School of Energy and Power Engineering, Huazhong University of Science and Technology (HUST)
http://nanoheat.energy.hust.edu.cn/ry.htmORCID 0000-0003-0973-1718
China -
Mar 19, 2020Thermodynamics of continuous non-Markovian feedback control
Figure 1. Non-Markovian delayed feedback control. -
Nov 19, 2019Tiny artificial sunflowers could be used to harvest solar energy

Figure 1. Sunflower have inspired a device that can harvest solar energy
@ Sorajack Mongkolsri / Alamy Stock Photo